 
	Due to their superior piezoelectric and dielectric properties, lead zirconate titanate(PZT)-based piezoelectric ceramics have been widely used in various sensors and actuators. However, the study on the manufacture of lead-free piezoelectric ceramics as an alternative to PZT is being carried out worldwide, because when PZT is prepared, Pb polluting the environment is evaporated and also PZT has a working temperature below 300 °C. Lead-free ceramics, compared with the properties of PZT-based piezoelectric ceramics, are Na0.5K0.5NbO3(NKN), Na0.5Bi0.5TiO3(BNT) and BaTiO3 based ceramics with perovskite structure, among which the NKN-based lead-free ceramics are attractive because of their good piezoelectric properties and high Curie temperature. Recently, researchers at Center for Advanced Technology Research and Development of 
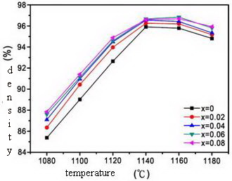
The density of Na0.5K0.44Li0.06NbO3(NKLN)+xWO3(x=0~0.08) ceramics with different WO3 contents may be increased as a function of sintering temperature, and there exists an optimum sintering temperature that represents the maximum density for each composition. (Fig. 1)
In case that WO3 content is x≤0.06, kp and d33 are increased with increasing x, and excellent piezoelectric and dielectric properties of d33~235pC/N, kp~42.1%, tanδ~0.043, Qm~61, and TC~442℃ are obtained at x=0.06. (Fig. 2)
When WO33 is added, some A-site pores are generated to maintain the neutrality of the system, which mitigates the deformation caused by the change in the polarization direction of the non-180° domains, so that the polarization change of the 180° domains is fully achieved. As a result, the piezoelectric properties of the ceramics are improved. In order to evaluate the temperature stability, the ceramic samples are annealed at 400℃ for 48h, and their kp variation are observed. The results showed that the kp variation of the ceramic samples are decreased with increasing WO33 content.
The results of this study were published in the journal "Applied Physics A" under the title of "Effect of WO3 doping on the piezoelectric property and temperature stability of lead free Na0.5K0.44Li0.06NbO3 ceramics"(https://doi.org/10.1007/s00339-021-04586-7).
 
  