Research

Preparation and Characterization of Water-Reducible Polyester Resin Based on Waste PET for Insulation Varnish

 2024.6.18.

Recently, researchers of the Center for Advanced Technology Research and Development at Kim Il Sung University have prepared and characterized water-reducible polyester resin (WRPE) for insulation varnish using waste PET, glycerol and phthalic anhydride (PA).

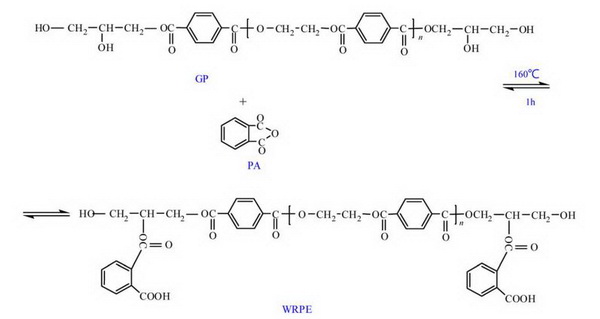
The waste-PET was depolymerized via glycolysis at different molar ratios of PET/GL (PET repeating unit/GL molar ratios: 1.6, 1.3, and 1.0) with zinc acetate as a catalyst at 220~230 °C. The resulting glycolytic products (GPs) were reacted with PA at contents of 5, 7.5, 10, 12.5, and 15wt%, based on the total weight. The prepared WRPEs were dissolved in phenol, neutralized with aqueous ammonia to pH = 7~7.5, and diluted in water (Fig. 1). The WRPEs were cured with hexamethoxymethyl melamine resin (HMMM, WRPE: HMMM = 70: 30, based on the dry mass) at 140°C for 2h.

Synthesis of WRPE
Fig. Synthesis of WRPE

The formation of GPs, WRPE, and WRPE-HMMM was investigated using Fourier transformer infrared spectroscopy and proton nuclear magnetic resonance spectroscopy; the thermal properties were characterized using thermogravimetric analysis and differential scanning calorimetry. The electrical insulation strength and volume resistivity of the cured films with PA content were investigated. It was shown that WRPE with a PA content of 10wt% had an excellent heat resistance grade (F grade), electrical insulation strength (81.6kV/mm), and volume resistivity (1.0×1016Ω㎝ in air 25℃ and 3.2×1015Ω㎝ after immersion in water for 24 h).

This result was published in “RSC Advances” (2023, Vol. 13, pp. 34637-34645) under the title of “Preparation and characterization of water-reducible polyester resin based on waste PET for insulation varnish” (https://doi.org/10.1039/d3ra06369k).