English
조선어
中文
Русский
About
Education
Research
Campus Life
About
Education
Research
Campus Life
Research
Academic Exchange
Joint Research
International Symposium
Achievements
Journals
Articles
Literary Works
Research Achievement
Home
/
Research
Weighted Hyper-Laplacian Prior with Overlapping Group Sparsity for Image Restoration under Cauchy Noise
2024.9.6.
We proposed a new regularization method using the weighted hyper-Laplacian prior with overlapping group sparsity⋯
Quantum Chemical Study on Inclusion of Linalool Into Cucurbiturils
2024.9.6.
Cucurbiturils are cage-like organic compounds (CB[n]), which can be synthesized by condensation of glycoluril and formic⋯
A Study of A Pattern Matching Performance Scheme using Q-Gram Index with "Next Byte Range"
2024.9.6.
The paper shows how to convert the pattern DB into the q-gram index structure with the 'next byte range' and how to filter the data item⋯
Robust Voice Activity Detection based on a Gated Recurrent Unit
2024.8.14.
In this paper we proposed an efficient deep neural network based on time-delayed neural network (TDNN) and⋯
Multi-Agent based Scheduling for Tandem Automated Guided Vehicle Systems
2024.8.14.
The research group of the faculty of Electronics and Automation in
Kim Il Sung
University proposed⋯
Genetic relationship between
Pinus
species in the Democratic People's Republic of Korea
2024.8.14.
In this study, the genetic relationship among 63 germplasms of pine species were analyzed using⋯
Efficient Screening of SNP in Canine
OR52N9
and
OR9S25
as Assistant Marker of Olfactory Ability
2024.8.14.
In this study the effect of previously reported canine olfactory receptor (cOR) genes on the olfactory ability ⋯
Enhanced Uplink Handover Scheme for Improvement of Energy Efficiency and Qos in LTE-A/5G Hetnet With Ultra-Dense Small Cells
2024.8.7.
We have done a research on the uplink handover (UL-HO) being watched recently and⋯
A Controller Design and Analysis Using Asymmetry Triangular Cloud Models
2024.7.24.
We propose a new asymmetric triangular cloud model represented by linear operation and the controller design⋯
Bulk-edge correspondence for Floquet topological phases in honeycomb nanoribbon
2024.7.24.
We have already proved that the honeycomb nanoribbon could cause the interesting topological phase transition⋯
Study on Ethanol Electro-Oxidation at Carbon-supported Pt-Cu alloy Catalyst by Electrochemical Mass Spectrometry
2024.7.24.
Recently, researchers of Center for Advanced Technology Research and Development at
Kim Il Sung
University⋯
Robust PID optimal tuning of a Delta parallel robot based on a hybrid optimization algorithm of Particle Swarm Optimization and Differential Evolution
2024.7.24.
We propose an approach to tune the Computed Torque Control (CTC) plus robust PID optimal parameters⋯
Inorganic halogen perovskite CsBI
3
(B = Pb, Sn, and Ge) thermoelectric material
2024.7.24.
We have applied the first-principles material design method based on density functional theory to evaluate the thermoelectric conversion performance of ⋯
Saptio-temporal Dynamics of Forest Cover in Mid-Upstream Basins of Taedong River in Our Country
2024.6.18.
Over the past 30 years, the forests in the study area have undergone ecological processes of deforestation ⋯
Study on Trajectory Tracking Control of a Three-wheeled Omnidirectional Mobile Robot Using Disturbance Estimation Compensator by RBF Neural Network
2024.6.18.
We propose a method to realize trajectory tracking control of a three-wheeled omnidirectional mobile robot⋯
Mackey-Glass Chaotic Time Series Forecasting by using Self-Organizing Fuzzy Inference Network
2024.6.18.
We proposed a new forecasting model using self-organizing fuzzy inference network (SOFIN) to solve the problem for forecasting Mackey-Glass chaotic ⋯
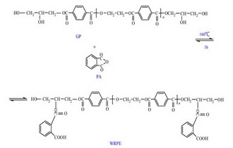
Preparation and Characterization of Water-Reducible Polyester Resin Based on Waste PET for Insulation Varnish
2024.6.18.
Recently, researchers have prepared and characterized water-reducible polyester resin (WRPE) for insulation varnish using waste PET⋯
Comparison of LSTM Network, Neural Network and Support Vector Regression Coupled with Wavelet Decomposition for SPI Forecasting in the Western Area of the DPRK
2024.6.18.
The standardized precipitation index with 6 and 12-month timescales (SPI-6 and SPI-12) was used in ⋯