과학연구

무기할로겐페로브스카이트CsBI3(B = Ge, Sn, Pb) 열-전기변환재료

 2021.11.24.

경애하는 김정은동지께서는 다음과 같이 말씀하시였다.

《정보기술, 나노기술, 생물공학을 비롯한 핵심기초기술과 새 재료기술, 새 에네르기기술, 우주기술, 핵기술과 같은 중심적이고 견인력이 강한 과학기술분야를 주타격방향으로 정하고 힘을 집중하여야 합니다.》

최근에 태양에네르기, 지열, 풍력에네르기를 비롯한 자연에네르기를 적극 리용하는것과 함께 쓸모없이 소모되는 다양한 페열을 전기에네르기로 변환하는 열-전기변환재료가 주목을 끌고있다. 전통적으로 리용되는 열-전기변환재료들과는 달리 할로겐페로브스카이트재료는 지구상에 그 자원이 풍부하고 제작원가가 매우 눅으며 우수한 열전기적성질을 가지는것으로 하여 새로운 열-전기변환재료로 주목되고있다.

우리는 밀도범함수리론에 기초한 제1원리재료설계방법을 적용하여 무기할로겐페로브스카이트 CsBI3 (B = Ge, Sn, Pb)의 살창동력학 및 수송특성에 대한 연구를 진행하여 이 재료의 열-전기변환성능을 평가하였다.

우선 무기할로겐페로브스카이트 CsBI3 (B = Ge, Sn, Pb)에서 PBEsol 교환-상관범함수를 리용하여 결정구조최적화를 진행하여 선행실험연구와 잘 일치하는 살창상수들을 얻었으며 최적화된 결정구조를 리용하여 살창동력학 및 수송성질연구를 진행하였다.

다음으로 무기할로겐페로브스카이트 CsBI3 (B = Ge, Sn, Pb)에서 전자구조와 전자수송성질에 대한 제1원리적연구를 진행하고 이 재료의 열-전기변환성능을 평가하였다.

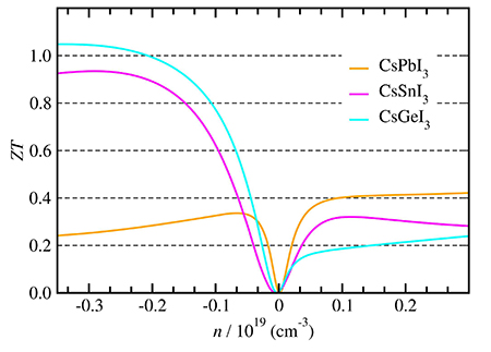
700K에서 나르개농도에 따르는 CsBI<sub>3</sub>(B=Pb, Sn, Ge)의 (a)와 열전기우량도
그림. 700K에서 나르개농도에 따르는 CsBI3(B=Pb, Sn, Ge)의 (a)와 열전기우량도

그림에 700K에서 나르개농도에 따르는CsBI3의 열전기우량도를 보여주고있다. CsGeI3은 열전도도가 매우 작고ZT (열전기우량도)가 큰것으로 하여 n-형혼입물을 적당히 첨가하면 700 K에서 ZT가 대략 1.2로서 같은 온도에서 GeTe의 0.9에 비하여 우월한 열-전기변환성능을 나타낸다는것을 밝혔다.

연구결과는 무기할로겐페로브스카이트 CsBI3 (B = Ge, Sn, Pb)은 살창열전도도가 매우 작고 열전기우량도가 크므로 값이 눅으면서도 효률이 높은 열-전기변환장치제작에 응용할수 있다는것을 보여준다.

이 연구결과는 잡지 《The Journal of Physical Chemistry C》에 《High Thermoelectric Performance in the Cubic Inorganic Cesium Iodide Perovskites CsBI3 (B = Pb, Sn, and Ge) from First-Principles》(https://doi.org/10.1021/acs.jpcc.0c09929)의 제목으로 출판되였다.