과학연구

그라펜을 씌운 반도체에서 플라즈몬유도-역파라데이효과에 의한 나노령역자화와 3차비선형성

 2021.10.11.

위대한 령도자 김정일동지께서는 다음과 같이 교시하시였다.

《우리는 중요과학기술부문에 힘을 집중하면서 레이자를 비롯한 새로운 과학기술분야를 발전시키며 새로 건설하는 공장들과 기술개건대상들에 최신과학기술을 적극 받아들이도록 하여야 합니다. 이와 함께 수학, 물리학, 생물학을 비롯한 기초과학에 대한 연구를 강화하여 그것이 인민경제와 과학기술발전에 적극 이바지하도록 하여야 합니다.》 (김정일선집》 증보판 제15권 488페지)

역파라데이효과(IFE)를 리용하면 자유공간원편극빛을 입사시켜 자기광학매질에서 준정상자기마당을 발생시킬수 있다.

최근에 이 효과는 초고속레이자임풀스에 의한 초고속전광학적자화여닫이와 매우 빠른 속도로 자기적자료기록을 진행할수 있는 가능성을 주는것으로 하여 매우 큰 관심을 끌고있다. 자기광학효과는 국부플라즈몬모드에 의한 마당증폭을 통하여 자기플라즈몬구조에서 증폭될수 있다. 이 방법은 자유공간원편극빛으로 구조화된 살창에서 역파라데이효과의 마당증폭을 실현하는데도 리용되고있다. 기록밀도를 늘이기 위한 요구로부터 금쌍선안테나를 씌운 자기박막과 자기플라즈몬미소공동에서 나노국부화된 전광학적여닫이를 실현하기 위한 연구가 적극 진행되고있다. 플라즈몬나노구조의 자기유전체부분에서 고유스핀세차려기의 공간적국부화도 연구되고 있다. 최근에 우리는 역방향전파 혹은 2개의 임풀스 자유전파표면플라즈몬폴라리톤을 리용하여 나노령역에서 전광학적자화여닫이를 실현할수 있는 한가지 방도를 제기하였다.

역파라데이효과에 의하여 생겨난 자기마당은 역파라데이효과와 련관된 3차비선형성에 의하여 표면플라즈몬폴라리톤의 전파에 작용하여 비선형위상밀림을 일으킨다.

우리는 나노령역에서 공간불균일자화를 실현하기 위하여 그라펜을 씌운 반도체에서 자유전파하는 표면플라즈몬폴라리톤에 의하여 유도되는 역파라데이효과에 대한 연구를 진행하고 3차비선형성으로 나타나는 표면플라즈몬폴라리톤전파에 대한 응답을 연구하였다.

그림. 1 (ㄱ), (ㄴ)에서 보여준것처럼 두가지 종류의 그라펜피복판형반도체구조에서 플라즈몬전파를 연구하였다.

그라펜피복반도체에서 플라즈몬유도역파라데이효과에 의한 나노령역자화구조
그림.1 그라펜피복반도체에서 플라즈몬유도역파라데이효과에 의한 나노령역자화구조

(ㄱ) 한쪽면은 공기, 다른쪽면은 반도체로 되여있는 그라펜구조

(ㄴ) 량쪽이 다 반도체로 되여있는 그라펜구조

그라펜은 많은 응용분야를 가지고있으며 특히 THz대역과 중간적외선대역에서 큰 응용가능성을 나타내고있다. 그라펜피복구조에서 려기된 표면플라즈몬폴라리톤은 THz대역에서 금이나 은과 같은 전통적인 금속에 비하여 국부성이 더 좋고 전파손실이 더 작은 특성을 가지며 이러한 특성을 그라펜턱전압으로 유연하게 조절할수 있다.

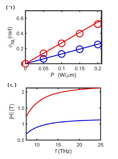
플라즈몬유도역파라데이효과에 의한 3차비선형성과 주파수의존유효자기마당
그림. 2 플라즈몬유도역파라데이효과에 의한 3차비선형성과 주파수의존유효자기마당

이러한 우점으로부터 조종가능한 그라펜플라즈몬장치에 대한 많은 연구결과들이 발표되고있다. 최근에는 그라펜-유전체-금속구조에서 역파라데이효과에 의한 자기마당분포조절의 가능성에 대한 연구결과가 발표되였다.

그림. 2에서 기본결과를 보여주고있다. 여기서 플라즈몬유도역파라데이 효과에 의한 3차비선형성과 주파수의존유효자기마당을 볼수 있다.

그라펜피복반도체에서 플라즈몬유도 역파라데이효과에 의한 나노령역에서의 자화에 대한 이 연구방법은 나노크기의 계에서 전광학적자화여닫이를 실현하기 위한 효과적인 방도를 제기하는것으로 된다.

우리의 연구결과는 잡지 《Physical Review B》 [100, 155404 (2019)]에 《Nanoscale magnetization and third-order nonlinearity by the plasmon-induced inverse Faraday effect in graphene-covered semiconductors》 (https://doi.org/10.1103/PhysRevB.100.155404) 의 제목으로 출판되였다.