과학연구

Fe2TiSn 열전재료에 대한 연구

 2022.7.7.

위대한 령도자 김정일동지께서는 다음과 같이 교시하시였다.

《새로운 과학기술분야를 개척하기 위한 사업도 전망성있게 밀고나가야 합니다. 나라의 과학기술을 세계적수준에 올려세우자면 발전된 과학기술을 받아들이는것과 함께 새로운 과학기술분야를 개척하고 그 성과를 인민경제에 적극 받아들여야 합니다.》 (김정일선집》 증보판 제11권 138~139페지)

열전변환에 기초한 전기에네르기생산은 페열에서부터의 직접발전을 실현할수 있는것으로 하여 오늘날 에네르기문제를 해결하는데서 중요한 의의를 가진다. 그러나 지금까지의 열전재료들은 대부분 Te, Bi, Sb, Pb 등 희유금속이나 독성원소들을 포함하고있으며 특히 저온열전재료분야에서는 Bi2Te3열전재료이외에는 상업화되여있는 재료가 현재까지 개발되지 못하였다. 최근에 호이슬러구조를 가지는 Fe2TiSn에 대한 실험연구 및 리론연구들은 이 재료가 저온대역에서 높은 열전특성을 가지면서도 저원가의 원소들에 기초하고있는것으로 하여 과학자들의 관심을 모으고있다.

김일성종합대학 에네르기과학부에서는 열전랭각기술과 열전기생산에 효과적으로 리용될수 있는 저원가열전재료인 Fe2TiSn의 개발을 연구과제로 선정하고 심도있는 연구사업을 벌려 재료의 물리적 및 열전기적특성을 리론적으로 해명하였으며 Si원소의 치환효과를 통한 열전변환특성의 향상과 재료의 제조, 그 응용에 대한 연구를 진행하였다.

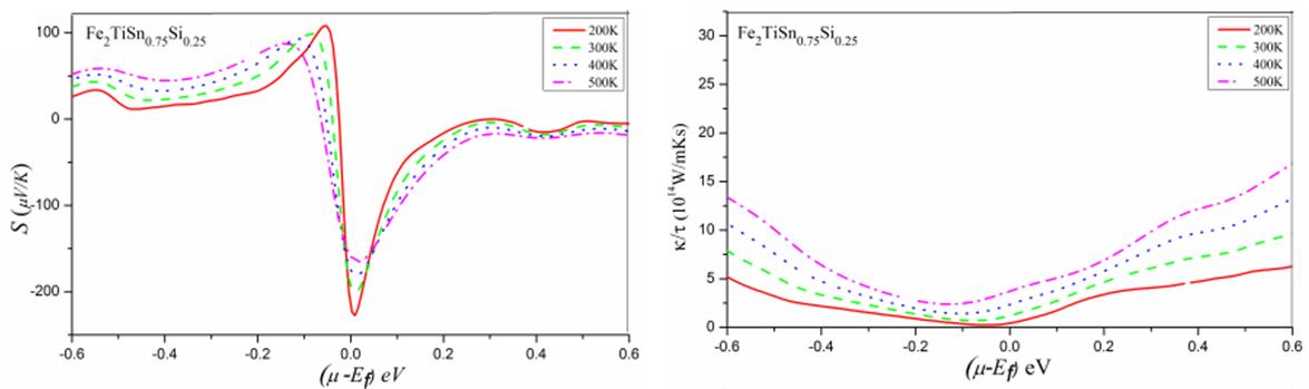
연구결과에 의하면 Fe2TiSn열전재료에서 Si의 치환은 재료의 기계적특성과 열전기특성을 향상시킬뿐 아니라 열전재료에서 가장 중요한 지표인 열전도도를 감소시킨다. Sn원소에 대한 Si원소치환이 25%인 Fe2TiSn0.75Si0.25재료가 300~500K범위에서 가장 우수한 열전특성을 가진다.



제베크곁수와 열전도도변화
그림. 온도에 따르는 Fe2TiSn0.75Si0.25재료의 제베크곁수와 열전도도변화

Si가 치환된 Fe2TiSn열전재료의 제조는 50h의 기계적합금화와 1 150℃에서의 플라즈마소결처리공정을 통하여 진행되였으며 현재 이 재료를 리용한 열전변환체계실현을 위한 연구사업이 진행되고있다.

연구결과들은 열전재료분야에서 세계적인 과학리론잡지《Journal of Electronic Materials》(Vol. 46, No. 10, 2017, 6038-6044)에 《Stability and Elastic, Electronic, and Thermodynamic Properties of Fe2TiSi1− xSnx Compounds》(https://doi.org/10.1007/s11664-017-5564-z), 잡지《Journal of Alloys and Compounds》(VOL. 693, 2017, 462-467)에 《Theoretical investigation of stabilities and physical properties of low cost Fe-based full-Heusler materials》(http://dx.doi.org/10.1016/j.jallcom.2016.09.216)의 제목으로 발표되였다.