《현시대는 과학기술의 시대이며 과학기술의 발전수준은 나라의 종합적국력과 지위를 규정하는 징표로 됩니다. 과학기술력은 국가의 가장 중요한 전략적자원이며 사회발전의 강력한 추동력입니다.》
이동로보트의 위치결정은 로보트가 주위환경내에서의 자기의 위치와 방향을 식별하는것으로서 이동로보트의 자률항행에서 가장 기초적인 문제들중의 하나이다. 로보트의 위치결정을 위한 여러가지 방법들중에서 극주사정합(Polar Scan Matching: PSM)기술은 적은 계산량을 가지는 우점이 있는 반면에 주사들을 잘못 정합할 가능성이 있다. 카오스최량화알고리듬(Chaos Optimization Algorithms: COAs)은 카오스시계렬을 리용하는 확률적대역최량화알고리듬으로서 실현이 쉽고 실행시간이 짧으며 국부최량풀이를 회피할수 있는 좋은 특징들을 가진다.
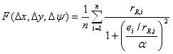
이전의 극주사정합방법에서는 두 주사들사이의 변환관계의 탐색문제를 대응되는 주사쌍들사이의 두제곱오차들의 무게붙은 합의 형태로 표시되는 비용함수를 최소화하는 문제로 넘겨 그라디엔트하강법에 의하여 풀이를 구하였다. 그러나 우리는 주사쌍들사이의 두제곱오차의 거꿀수들의 무게붙은 합으로서 우도함수를 다음과 같이 정의한다.
이 우도함수의 대역최대점을 찾기 위하여 진화계산방법의 하나인 적응니칭카오스최량화알고리듬을 리용한다.
연구조에서는 이동로보트의 국부위치결정과 궤도추적에 대한 모의실험을 통하여 제안한 방법을 격자기초탐색방법과 정규분포변환(Normal Distribution Transform: NDT)과 같은 다른 주사정합알고리듬들과 비교하였으며 실험결과들은 제안한 방법이 주사정합성공률과 로보트자세추정오차, 궤도추적 등에서 우월한 성능을 가진다는것을 보여주었다.
이 연구결과는 잡지 《Journal of Intelligent & Robotic Systems》(2022)에 《A Mobile Robot Localization Method Based on Polar Scan Matching and Adaptive Niching Chaos Optimization Algorithm》(https://doi.org/10.1007/s10846-022-01724-y)의 제목으로 발표되였다.
