과학연구

경사진 교란성대기경로속에서 전파하는 에돌이쳐프된 가우스임풀스빛묶음의 스펙트르거동

 2022.9.19.

위대한 령도자 김정일동지께서는 다음과 같이 교시하시였다.

《우리는 중요과학기술부문에 힘을 집중하면서 레이자를 비롯한 새로운 과학기술분야를 발전시키며 새로 건설하는 공장들과 기술개건대상들에 최신과학기술을 적극 받아들이도록 하여야 합니다. 이와 함께 수학, 물리학, 생물학을 비롯한 기초과학에 대한 연구를 강화하여 그것이 인민경제와 과학기술발전에 적극 이바지하도록 하여야 합니다.》 (김정일선집》 증보판 제15권 488페지)

최근년간 자유공간과 교란성대기속을 통한 레이자빛묶음의 전파에 대한 연구는 원격수감, 레이자레이다, 자유공간빛통신, 레이자영상처리와 레이자추적과 같은 분야들에 중요하게 응용되고있는것과 관련하여 더욱더 중요한 문제로 나서고있다. 따라서 교란성대기속에서 각이한 종류의 레이자빛묶음의 전파와 관련된 많은 연구들이 광범히 진행되였다. 두말할것없이 연구의 대다수는 수평경로의 경우로 국한되였다. 그러나 경사경로가 보다 실천적인 경우이며 자유공간빛통신, 깊은 우주통신과 지상-위성통신 등과 같은 응용들에서 보다 전망적이다. 이런 중요성으로 하여 가우스빛묶음과 불규칙적인 중공빛묶음, 균일세기의 회오리빛묶음 등과 같은 많은 형태의 레이자빛묶음의 전파특성에 대한 연구가 최근에 활발히 진행되고있다.

다른 한편 초단레이자임풀스발생기술이 급속히 발전하면서 교란성대기속에서 수평경로를 따라 전파하는 쳐프가우스임풀스빛묶음의 전파에 대한 연구에 많은 주목이 돌려지고있다. 이 연구들에서는 쳐프가우스임풀스빛묶음의 축상스펙트르의 진화와 분산성매질속에서 가우스구멍에 의하여 에돌이된 초단쳐프가우스임풀스빛묶음의 스펙트르거동과 쳐프가우스임풀스빛묶음의 스펙트르특성에 대한 대양교란의 영향이 구체적으로 고찰되였다. 특히 구멍에서 에돌이된 초단쳐프가우스임풀스빛묶음의 스펙트르의 불규칙성이 정보부호화와 정보전송에서의 잠재적응용으로 하여 연구되였으며 그의 정당성은 실험에 의하여 확증되였다.

아주 최근에 경사진 교란성대기속에서 전파하는 쳐프가우스임풀스빛묶음의 스펙트르변환에 대한 연구가 발표되였다.

우리는 경사진 교란성대기경로속에서 전파하는 원형구멍에 의하여 에돌이된 쳐프가우스임풀스빛묶음의 스펙트르거동과 그의 잠재적응용에 대하여 연구하였다.

그림 1과 2는 우리의 기본결과들을 보여준다.


출력스펙트르
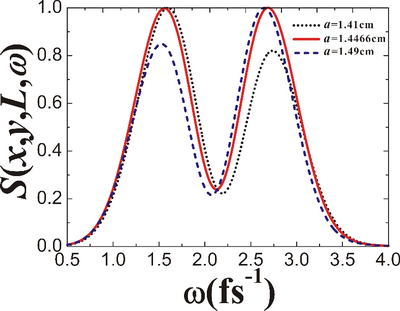
그림 1. 크기가 각이한 원형구멍에 의하여 에돌이쳐프된 가우스임풀스빛묶음의 규격화된 출력스펙트르
출력스펙트르
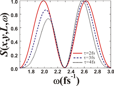
그림 2. 각이한 임풀스의 지속시간에 대하여 원형구멍에 의하여 에돌이쳐프된 가우스임풀스빛묶음의 규격화된 출력스펙트르

여기서 구멍이 있는 경우에 위상특이점근방에서 스펙트르스위치가 나타난다는것을 알수 있다. 우리의 연구결과들은 경사진 교란성대기속에서 정보부호화와 정보전송을 실현하는데서 잠재적으로 응용될수 있다.

이 연구결과들은 "Optik-International Journal for Light and Electron Optics" [244 (2021) 167522]에 "Spectral behaviors of diffracted chirped Gaussian pulsed beam propagating in slant turbulent atmosphere path" (https://doi.org/10.1016/j.ijleo.2021.167522)의 제목으로 출판되였다.