위대한 령도자
《정보산업을 빨리 발전시키고 인민경제의 모든 부문을 정보화하여야 합니다.》 (《
파종기에서 씨앗내보냄장치에 대한 연구는 오래전부터 진행되여왔으며 현재까지 많은 형태가 개발되였지만 대체로 기계식이 기본이기때문에 동력소비가 크고 전용화되였다.(4,5) 최근에는 세계적으로 씨뿌림질을 높이고 기계의 구조를 간단히 하기 위하여 수자조종씨앗내보냄장치에 대한 연구에 관심을 돌리고있다.(1, 2, 3)
이로부터 폼퓨터조종기술을 농기계에 도입하기 위한 연구에서는 적지 않은 성과들이 이룩되였다.
론문에서는 정밀씨뿌림작업을 프로그람에 의하여 조종하는 연구결과를 종합하여 제시하였다.
연구결과
1. 날개식씨뿌림장치에 대한 리론적고찰과 한계회전속도결정
씨앗내보냄장치의 콤퓨터조종을 실현하자면 조종대상의 한계회전속도를 알아야 한다. 날개바퀴의 한계회전속도는 날개판이 씨앗을 담기 시작할 때부터 씨앗층을 벗어나는 순간까지의 최대회전속도이다.
이 문제를 고찰하기 위하여 그림 1에서처럼 수직선에 있던 날개판이
만큼 회전하며 A0으로부터 A점으로 이동하면서 씨앗을 담기 시작한다고 하자.
그림 1. 날개판이 씨앗을 담을 때 작용하는 힘략도
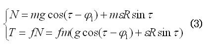
T +Gz ≤ F2 (1)
씨앗에 작용하는 힘 G=mg, F=mεR를 날개판에 사영한 힘들을 구하면 다음과 같다.

그러므로 날개판에 작용하는 법선력 N와 마찰력 T는 다음과 같다.

여기서
f – 씨앗과 날개판의 쓸림곁수
τ - 씨앗바퀴의 날개판오목원호의 접선각
- 씨앗날개판의 회전각
m - 날개판우에 놓인 씨앗의 질량
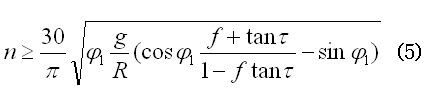
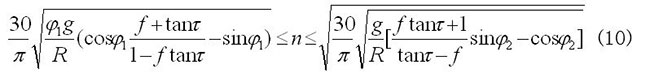
주어진 값들을 조건식에 대입하고 정리하면

씨앗이 처음에 U0=0이다가 씨앗바퀴가
만큼 회전하는 순간에 Ut=ωR만한 선속도까지 증가하였다면
이고 씨앗바퀴의 한계회전속도는
에 의하여 n값을 표시하면 다음과 같다.

식에서 보는바와 같이 최소한계회전속도는 씨앗바퀴의 반경에 반비례하며 씨앗을 담기 시작하는 회전각
에 비례한다.
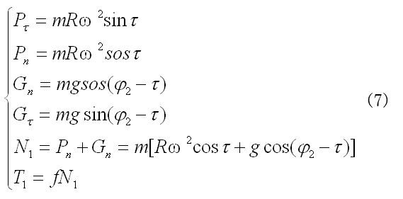
씨앗바퀴날개판이 씨앗층을 벗어나면 반력이 없어지고 씨앗에는 원심력 P=mω2R와 중력 G=mg만이 작용한다고 볼수 있다.(6)
씨앗바퀴날개판이 씨앗층에서 벗어나
만큼 회전하는 순간에 날개판에 담겨진 씨앗이 뿌려지지 않자면 식 (6)과 같은 조건을 만족하여야 한다.

그림 2. 날개판이 씨앗층을 벗어날 때 작용하는 힘략도
여기서

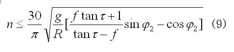
주어진 값들로 조건식 8을 구하면 다음과 같다.

그러므로 씨앗바퀴의 최대한계회전속도 n은 다음과 같다.

식에서 보는바와 같이 씨앗바퀴의 최대한계속도는 반경에 반비례한다. 식 5와 식 9에 의하여 씨앗바퀴의 한계회전속도를 구하면

이처럼 씨앗바퀴의 회전속도는 날개판의 접선력 τ와 바퀴반경 R, 그리고 씨앗의 쓸림곁수와 위치각에 관계된다.
씨앗내보냄장치의 구조설계로부터 씨앗을 담기 시작하는 위치각은
이며 씨앗층을 벗어나는 순간까지의 회전각은
이고 쓸림곁수는
바퀴의 반경은 R=5cm이다.
또한 날개판의 접선각 τ는 12°54´≤τ≤46°26´이므로 씨앗바퀴의 한계회전속도는 113.28rpm≤n≤265.75rpm이다.
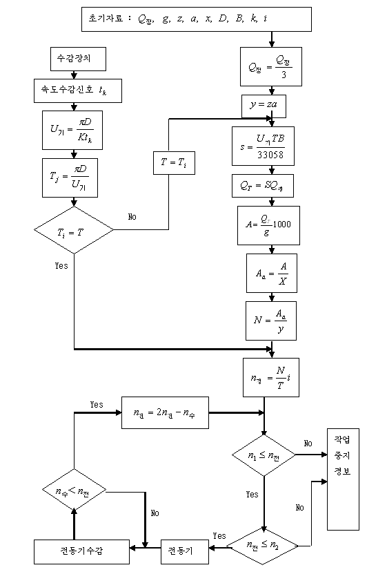
이 한계회전속도구간에서 정보당 씨뿌림량을 조종하기 위한 콤퓨터조종흐름도를 작성하면 다음과 같다.
2. 씨앗량콤퓨터조종을 위한 초기자료선정과 흐름도작성
콤퓨터에 의하여 씨앗량을 조종하자면 작물별에 따르는 씨앗의 특성과 농업기술적요구를 비롯한 정보자료와 기계성능지표를 알아야 한다.
씨앗량조종은 여러가지 방식으로 할수 있지만 기본은 정보당씨뿌림량을 기준으로 하는것이 합리적이다.
정보당씨뿌림량은 농작물의 종류와 품종의 특성뿐만아니라 토양의 지력과 씨뿌림시기, 씨앗의 질과 싹트는 성질, 그리고 목표소출과 재배방법에 의하여 결정된다.
정보당씨뿌림량이 규정되면 씨앗의 천알질량을 조사한다.
일반적으로 씨앗을 뿌릴 때는 종자처리를 진행하거나 물불구기를 하며 최근에는 씨앗에 영양물질을 피복하여 뿌리는 조건에서 천알질량을 정확히 측정하고 씨뿌림량을 타산하여야 한다.
씨뿌림량을 정확하게 조종하자면 기계의 작업을 특징짓는 기술적특성인 총작업너비, 씨뿌림줄수, 씨앗바퀴의 날개판개수 그리고 한개 날개판에 담기는 알수와 수감바퀴의 직경을 알아야 한다.
이와 같은 초기자료가 선정되면 콤퓨터조종흐름도를 작성한다.
초기자료 : 정보당씨뿌림량 Q정 (kg)
천알질량 : g(단위 : g)
날개판수 : z
한개 날개에 담긴 알수 : a
씨뿌림줄수 : x
기계의 전진속도 : U기
씨앗바퀴의 최대한계회전속도 : n
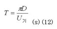
기계의 전진속도 U기는 수감바퀴에 의하여 측정한다.
기계의 속도수감은 직경이 D인 수감바퀴의 원둘레길이 πD를 기준으로 하고 k등분하여 수감장치의 구멍개수를 정하며 한개의 신호주기 시간 tk에 의하여 기계의 전진속도를 계산한다.

여기서 μ- 수감바퀴의 미끄름률
수감바퀴의 미끄름률은 토양조건에 따라 갈이한 토양에서는 1.06~1.08이며 갈지 않은 논에서는 1.0~1.04이다.
기계의 전진속도가 계산되면 수감바퀴가 한바퀴 돌아가는데 걸린 시간 T는 다음과 같다.

T시간동안에 기계가 씨뿌리기작업하는 면적 S는 작업너비에 의하여 다음과 같이 계산할수 있다.

평당씨뿌림량은 정보당씨뿌림량에 의하여 계산된다.

T시간동안에 S면적에 뿌려야 할 씨앗량을 계산하면

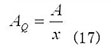
T시간동안에 S면적에 뿌려야 할 씨앗량을 알수 A로 환산하면

씨뿌림기계로 작물의 특성에 따라 한번에 X줄을 동시에 뿌리게 되므로 T시간동안에 한줄에 뿌려야 할 씨뿌림량 AQ는 다음과 같다.

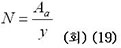
씨앗바퀴가 한바퀴 돌아갈 때 뿌려지는 씨앗량은 한개의 날개판에 담겨지는 알수와 날개판수에 관계되므로 다음과 같이 계산된다.

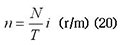
그러므로 T시간동안에 씨앗바퀴의 회전수는 다음과 같다.

콤퓨터는 이 자료에 기초하여 전동비가 i인 걸음전동기를 조종한다.

전동기회전수가 결정되면 한계회전속도값과 대비해보고 한계값을 초과하면 기계를 멈추고 경보신호를 내보낸다.
또한 콤퓨터는 전동기속도감시수감부와 씨앗내보냄량감시수감부를 통해 얻어진 경보신호에 기초하여 전동기회전수를 수정하거나 경보신호를 내보낸다.
이 과정을 흐름도로 표시하면 다음과 같다.
그림 3. 정보당씨뿌림량을 기준으로 하는 씨앗량조종흐름도
참고문헌
1. 집체, 벼농사의 종합적기계화(벼학전서 8), 외국문도서출판사, 2006
2. 안정권, 충격식씨뿌리는 기계, 농업기계화, 2003.3호, 30페지, 농업출판사
3. 최상철, 벼씨뿌리기와 모내기기계화의 발전동향, 농업기계화 2006.2호, 40페지, 농업출판사
4. Patersonetal, Drive Mechanism for seed metering device, August. 12, 2003.
5. Weaveretal, Seeding apparatus, August. 24, 2004.