과학연구

돼지공장들에서 종자돼지무리구성을 과학화하기 위한 방도

 2017.12.29.

종자돼지무리구성은 본질에 있어서 종자돼지무리가운데서 핵심무리와 종축일반무리, 생산무리의 비률, 암돼지와 수돼지의 비률, 종자돼지의 나이별 확보비률 등을 말하며 종자돼지무리의 규모는 그 절대적인 량적크기를 의미한다. 종자돼지무리구성과 규모를 바로 규정하는것은 돼지공장들앞에 맡겨진 생산계획을 어김없이 수행하면서도 불필요한 지출을 최대로 줄이는데서 매우 중요한 의의를 가진다.

돼지공장들에서 1대잡종돼지를 생산리용하려면 종자돼지핵심무리와 종축일반무리, 생산무리를 가지고있어야 하며 종자돼지무리들을 계획적으로 갱신하는 조건에서 나이별로 다 가지고있어야 한다.

종자돼지무리의 규모를 크게 하면 돼지고기생산에 필요한 새끼돼지를 받아내는데는 유리하지만 그만큼 먹이비를 비롯한 생산비지출이 늘어나고 반대로 규모가 지나치게 작아지면 새끼돼지생산이 줄어들어 돼지공장앞에 맞겨진 생산계획을 수행하기 어렵게 된다.

종자돼지무리구성을 합리적으로 하는것도 역시 적은 지출로 높은 생산성을 보장하는데 큰 영향을 미친다.

핵심무리와 종자수돼지의 비률을 늘이면 종축사업이 복잡해지고 생산비지출이 늘어나게 되며 그것을 낮추면 종축일반무리를 계획적으로 갱신해나갈수 없고 종자수돼지의 쌍붙기회수가 늘어나 그 리용년한이 줄어들거나 새끼생산을 제대로 할수 없게 되는 결과를 가져오게 된다.

여기서 보는바와 같이 종자돼지무리구성은 다음과 같은 경제수학적모형으로 해결할수 있다.


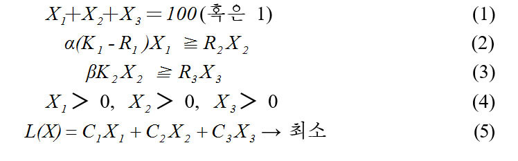
종자돼지무리구성의 경제수학적모형

X1 - 핵심무리구성비률

X2 - 일반무리구성비률

X3 - 생산무리구성비률

K1 - 핵심무리의 년평균생산성

K2 - 일반무리의 년평균생산성

R1 - 핵심무리의 년평균갱신률

R2 - 일반무리의 년평균갱신률

R3 - 생산무리의 년평균갱신률

α - 일반무리에로 넘어가는 암돼지비률

β - 생산무리에로 넘어가는 암돼지비률


식(1)은 매 무리별 구성비률의 합이 100(혹은 1)이 되여야 한다는 제한이다.

식(2)은 핵심무리에서 년간 일반무리갱신에 필요한 새끼돼지를 충분히 생산하여야 한다는 제한이다.

식(3)은 일반무리에서 년간 생산무리갱신에 필요한 새끼돼지를 충분히 생산하여야 한다는 제한이다.

식(4)은 매 무리의 구성비률은 부가되지 말아야 한다는 제한이다.

식(5)은 매 무리별 생산량(생산액)이 최대가 되여야 한다는 최량성 규준이다.

결국 종자돼지무리구성을 위한 경제수학적모형은 매 무리별 생산적련계를 원만히 보장하면서 경제적실리를 최대로 보장하도록 하는 선형계획문제에 귀착된다.

이상에서 돼지공장들에서 생산과 경영활동을 과학화, 현대화하기 위한 몇가지 경제기술적방도에 대하여 밝혔다.

돼지공장들에서는 이와 같은 방법에 기초하여 종자돼지무리의 전체적인 구성비률을 타산하고 고기생산에 필요한 종자돼지무리를 확보하기 위한 대책을 바로 세울수 있다.