新型三代太阳能电池之一的染料敏化太阳能电池由于成本低效率高,成为了世界科学界的研究热点。二氧化钛分等级结构可用于染料敏化太阳能电池的电极材料,能改善光散射特性、染料吸附量以及电子传输特性。
目前,人们制备各种结构的TiO2 (如纳米管、纳米棒、纳米线、纳米片以及混合结构和纳米花结构等),利用于染料敏化太阳能电池的电极材料。其中二氧化钛纳米管可减少膜电极内的颗粒间的界面,为染料吸附提供更大的表面积,从而提高电池的光电特性。
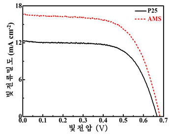
我们以商品TiO2 纳米粉体(P25)为原料,采用水热处理和酸处理、高温煅烧相结合的方法合成了比表面积为160 m2 g-1)、由锐钛矿二氧化钛纳米管组成的多孔性微球(图1),分析了此材料为电极材料的染料敏化太阳能电池的光电特性。该材料构建的染料敏化太阳能电池的效率达7.16%,与P25 基染料敏化太阳能电池的效率(5.34%)相比,改善了34%(图2)。
研究结果在国际学术杂志Journal of Electronic Materials(2019, 48(6), 3459-3467) 上以 "Anatase TiO2 Nanotubes-Aggregated Porous Microspheres for Ti Foil-Based Quasi-Solid State Dye-Sensitized Solar Cells with Improved Photovoltaic Performance" (https://doi.org/10.1007/s11664-019-07119-4)为题发表过。

